-
순환 신경망에 대해서 [RNN]인공지능 2022. 11. 16. 18:13
순환 신경망이란?
입력과 출력을 시퀀스 단위로 처리하는 시퀀스(Sequence) 모델이다.
- 순차적 (sequence)인 데이터를 입력 받아 결과값을 도출하는데 사용하는 딥러닝 모델
- 대표적으로 자연어 처리에 많이 사용된다
- 이전 입력 값들(단어들)이 현재 입력 값(단어)의 출력 값(품사)에 영향을 줌

Google 이라는 단어를 봤을 때 자리에 따라서 명사와 동사로 품사가 바뀌어서 출력된다.
이 처럼 여러 문장을 통해서 공통점을 찾아 출력될 수 있도록 만든다. 제시된 방향성을 정해줘야지 정확한 데이터를 출력할 수 있다.
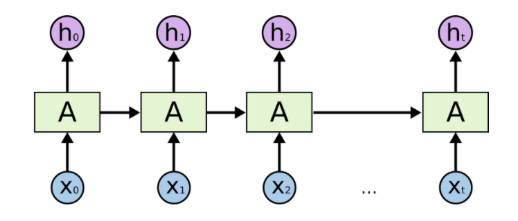
RNN의 기본적인 순환구조

시계열 데이터의 길이에 관계없이 입력과 출력을 받아들일 수 있기에 유연하게 구조를 만들 수 있다는 것이 RNN의 장점이다.
뿐만 아니라 아래 그림처럼 RNN은 다양하게 활용될 수 있다.
다양한 활용 one to one : 순환이 적용되지 않아 RNN으로 적합하지 않다.
one to many : 하나의 이미지 입력에 대해서 사진의 제목을 출력하는 Image Captioning 작업에 사용할 수 있다.
many to one : 하나의 문장을 받아 결론을 짓는다. (ex: 해당문장이 긍정적인지 부정적인지를 판별하는 감성 분류에 사용된다.)
many to many : 주로 사용자가 문장을 입력하면 대답 문장을 출력해주는 챗봇과 번역기가 이와 같은 작업에 속한다.
'인공지능' 카테고리의 다른 글
합성곱 신경망(Convolution Neural Network) (0) 2022.11.20 경사하강법 [Optimizer] (0) 2022.11.17 순환 신경망 예제 [RNN] (0) 2022.11.16 머신러닝 - 1 (0) 2022.01.12